3-(异丁烯酰氧)丙基三甲氧基硅烷,Silane A174,≥98.0%
产品编号Sigma-440159
Cas号2530-85-0
纯度/浓度
储存温度常温密封避光保存,Stored in cool, dry and airproof.
规格
¥0.00 ~ 2,750.00元
增值税发票√顺丰快递√订货电话:18601927057
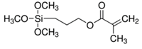
- 中文名称:3-(异丁烯酰氧)丙基三甲氧基硅烷 ;3-(甲基丙烯酰氧)丙基三甲氧基硅烷,硅烷偶联剂
- 英文名称:SilaneA174
- CAS NO:2530-85-0
- 分子式:C10H20O5Si; H2C=C(CH3)CO2(CH2)3Si(OCH3)3
- 分子量:248.35
基本信息
产品性状
无色透明液体质量标准
外观Appearance 无色透明液体红外光谱鉴定Infrared spectrometry 和对照品匹配
纯度Purity ≥98.0% (GC)
折光率Refractive index n20/D 1.4300 - 1.4320
比重Specific gravity (20/20°C) 1.0450 - 1.0490

浙公网安备 33010802013077号