乙烯基-POSS,PSS-Octavinyl substituted,≥99.0%
产品编号Sigma-475424
Cas号69655-76-1
纯度/浓度
储存温度常温密封避光保存,Stored in cool, dry and airproof.
规格
¥0.00 ~ 3,860.00元
增值税发票√顺丰快递√订货电话:18601927057
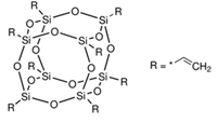
- 中文名称:乙烯基-POSS ;八乙烯基-POSS,八乙烯基八硅倍半氧烷,(乙烯基)8T8 纳米杂化分子化合物
- 英文名称:PSS-Octavinylsubstituted
- CAS NO:69655-76-1
- 分子式:C16H24O12Si8
- 分子量:633.04
基本信息
产品性状
白色粉末质量标准
外观Appearance 白色粉末纯度Purity ≥99.0%

浙公网安备 33010802013077号