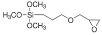
γ-缩水甘油醚氧丙基三甲氧基硅烷,3-Glycidyloxypropyltrimethoxysilane,≥97.0%
产品编号BJHY-440167
Cas号2530-83-8
纯度/浓度
储存温度常温密封避光保存,Stored in cool, dry and airproof.
规格
¥0.00 ~ 539.00元
增值税发票√顺丰快递√订货电话:18601927057
- 中文名称:γ-缩水甘油醚氧丙基三甲氧基硅烷 ;3-(2,3-环氧丙氧)丙基三甲氧基硅烷,3-缩水甘油醚氧基丙基三甲氧基硅烷,硅烷偶联剂KH-560
- 英文名称:3-Glycidyloxypropyltrimethoxysilane
- CAS NO:2530-83-8
- 分子式:C9H20O5Si
- 分子量:236.34
基本信息
产品性状
无色透明液体质量标准
外观Appearance 无色透明液体红外光谱鉴别Infrared spectrometry 符合
纯度Purity ≥97.0% (GC)
相对密度Specific gravity (20/20°C) 1.0710 - 1.0750
折光率Refractive index n20/D 1.4270 - 1.4300
PH 6.5-7

浙公网安备 33010802013077号