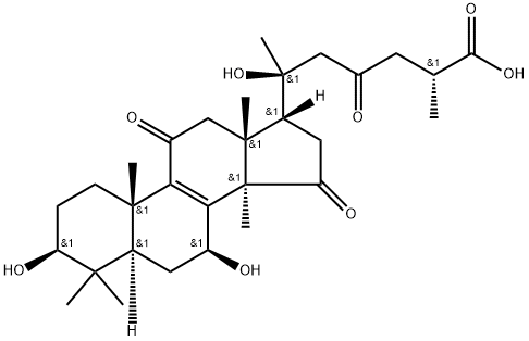
天然产物/灵芝酸I,95%
产品编号西域质检-TM59253
Cas号98665-20-4
纯度/浓度95%
储存温度冷藏
增值税发票√顺丰快递√订货电话:18601927057
- 中文名称:天然产物/灵芝酸I
- 英文名称:
- CAS NO:98665-20-4
- 分子式:
- 分子量:
基本信息
This certificate is designed in accordance with ISO 17034 and ISO Guide 31. This reference material (RM) was designed,produced and verified in accordance with ISO/IEC 17025, ISO 17034 and a registered quality management system ISO 9001.
The certified value(s) and uncertainty(ies) are determined in accordance with ISO 17034 with an 95% confidence level(k=2). Uncertainty is based on the Total Combined Uncertainty, including uncertainties of characterisation, homogeneity and stability testing. Stability values are based on real evidence opposed to simulation.
The balances used for gravimetric measurements are calibrated with weights traceable to the national standards. The calibration of the balances is verified annually by an external accredited calibration service. This analysis method has been verified using an approach consistent with ISO 17034:2016 & ISO 17025:2017.
| CERTIFICATE ON | QC SIGNATURE | |
| - |
|
RM Release |
HPLC
HPLC
This RM is intended for use in a laboratory as a calibration and quality control standard or in method development for analytical techniques.
This reference material meets the specification stated in this certificate until the expiry date, provided it is stored unopened at the recommended temperature here in. If storage after opening is necessary, the RM should be tightly closed and kept from light and moisture.
Read Material Safety Data Sheet (MSDS) and understand any potential hazard(s) prior to the use of this product. All chemicals should be considered potentially hazardous in nature and should only be handled by qualified personnel using established good laboratory practices.
Random replicate samples of the final packaged RM have been analysed to prove homogeneity compliant with ISO 17034.
It is recommended to use 1 mg as the minimum sample size and if less material is used, to increase the certified uncertainty by a factor of two for half sample and four for a quarter of sample.Visit the support section of our website technology videos and frequently asked questions.

浙公网安备 33010802013077号