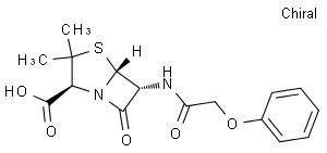
青霉素V,Phenoxymethylpenicillin,分析标准品,99%
产品编号Bellancom-YE108557
Cas号87-08-1
纯度/浓度分析标准品,99%
储存温度-20℃
规格
¥0.00 ~ 1,176.00元
增值税发票√顺丰快递√订货电话:18601927057
- 中文名称:苯氧甲基青霉素;青黴素V;(2s-(2Alpha,5Alpha,6Beta))-Enoxyacetyl)Amino);3,3-Dimethyl-7-Oxo-6-[(Phenyloxyacetyl)Amino]-4-Thia-1-Azabicyclo[3.2.0]Heptan;6-Phenoxyacetamido-Penicillanicaci;6-Phenoxyacetamidopeni
- 英文名称:Phenoxymethylpenicillin
- CAS NO:87-08-1
- 分子式:C16H18N2O5S
- 分子量:350.39
基本信息
- 熔点: 120-1280°C
- 储存条件: -20℃

浙公网安备 33010802013077号