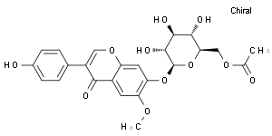
6''-O-乙酰基大豆异黄酮,6-O-Acetylglycitin,分析标准品,HPLC≥99%
产品编号Bellancom-YE31616
Cas号134859-96-4
纯度/浓度分析标准品,HPLC≥99%
储存温度2-8℃
规格
¥0.00 ~ 4,032.00元
增值税发票√顺丰快递√订货电话:18601927057
- 中文名称:4H-1-Benzopyran-4-One,7-(6-O-Acetyl-.Beta.-D-Glucopyranosyl)Oxy-3-(4-hydrOxyphenyl)-6-methOxy-;3-(4-HydrOxyphenyl)-6-methOxy-4-Oxo-4H-1-Benzopyran-7-yl6-O-Acetyl-β-D-Glucopyranos
- 英文名称:6-O-Acetylglycitin
- CAS NO:134859-96-4
- 分子式:C24H24O11
- 分子量:488.44
基本信息
- 沸点: 741.551°C at 760 mmHg
- 外观: 粉末
- 溶解性: Very 微溶 (0.13 g/L) (25 ºC),
- 储存条件: 2-8℃

浙公网安备 33010802013077号