5-胞苷三磷酸二钠盐,5′-CTP,2Na,HPLC≥99%
产品编号Bellancom-YE31857
Cas号36051-68-0
纯度/浓度HPLC≥99%
储存温度-20℃
规格
¥0.00 ~ 252.00元
增值税发票√顺丰快递√订货电话:18601927057
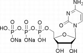
- 中文名称:5-胞嘧啶核苷三磷酸二钠盐;胞苷-5′-三磷酸二钠盐;5′-三磷酸胞苷二钠盐
- 英文名称:5′-CTP,2Na
- CAS NO:36051-68-0
- 分子式:C9H14N3Na2O14P3
- 分子量:527.12
基本信息
-
介绍:
Cytidine-5'-triphosphate disodium 是一种内源性代谢产物。
- 外观: 固体
-
溶解性: H2O : 125 mg/mL (237.14 mM; Need ultrasonic)
DMSO : < 1 mg/mL (ultrasonic;warming;heat to 80°C) (insoluble or slightly soluble)
- 敏感性: 易吸潮
- 储存条件: -20℃
- 用途: P2X4嘌呤受体激动剂。

浙公网安备 33010802013077号