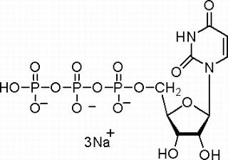
5-尿苷三磷酸三钠盐,5′-UTP,3Na,HPLC≥99%
产品编号Bellancom-YE31858
Cas号19817-92-6
纯度/浓度HPLC≥99%
储存温度-20℃
规格
¥0.00 ~ 252.00元
增值税发票√顺丰快递√订货电话:18601927057
- 中文名称:尿苷-5′-三磷酸三钠盐;5-尿嘧啶核苷三磷酸钠盐
- 英文名称:5′-UTP,3Na
- CAS NO:19817-92-6
- 分子式:C9H12N2O15P3Na3
- 分子量:550.09
基本信息
-
介绍:
科研实验用P2Y 受体激动剂
- 熔点: >140℃
- 外观: 白色粉末
- 溶解性: 50 mg/ml Water
- 敏感性: 对空气敏感,易吸潮
- 储存条件: -20℃
- 用途: P2Y 受体激动剂

浙公网安备 33010802013077号