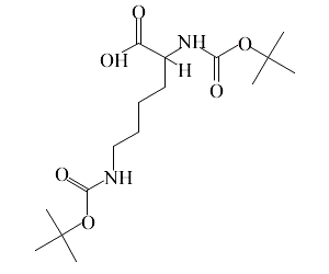
(S)-2,6-二叔丁氧羰基氨基己酸, 98%,Boc-Lys(Boc)-OH
产品编号XIYU-BP338853
Cas号2483-46-7
纯度/浓度
储存温度-20°C
规格
¥0.00 ~ 326.00元
增值税发票√顺丰快递√订货电话:18601927057
- 中文名称:(S)-2,6-二叔丁氧羰基氨基己酸 ;(S)-2,6-二叔丁氧羰基氨基己酸
- 英文名称:Boc-Lys(Boc)-OH
- CAS NO:2483-46-7
- 分子式:C16H30N2O6
- 分子量:346.4
基本信息
| 储存条件: | -20°C |
|---|---|
| 颜色: | 固体 |
| 物化性质: | |
| 熔点: | |
| 沸点: | |
| 密度: |

浙公网安备 33010802013077号