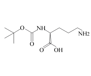
Boc-Orn-OH, 99%,Boc-Orn-OH
产品编号XIYU-BP339374
Cas号21887-64-9
纯度/浓度
储存温度室温
规格
¥0.00 ~ 1,040.00元
增值税发票√顺丰快递√订货电话:18601927057
- 中文名称:Boc-Orn-OH, 99%
- 英文名称:Boc-Orn-OH
- CAS NO:21887-64-9
- 分子式:C10H20N2O4
- 分子量:232.28
基本信息
| 储存条件: | 室温 |
|---|---|
| 颜色: | 白色到灰白色 粉末 晶体 |
| 物化性质: | |
| 熔点: | |
| 沸点: | |
| 密度: |

浙公网安备 33010802013077号