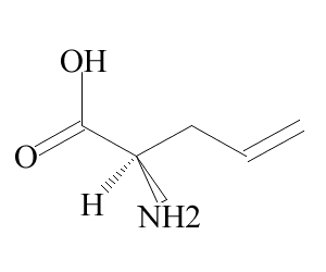
D-烯丙基甘氨酸, 99%,D-Allylglycine
产品编号XIYU-BP339424
Cas号54594-06-8
纯度/浓度
储存温度2~8°C
规格
¥0.00 ~ 556.00元
增值税发票√顺丰快递√订货电话:18601927057
- 中文名称:D-烯丙基甘氨酸, 99%
- 英文名称:D-Allylglycine
- CAS NO:54594-06-8
- 分子式:C5H9NO2
- 分子量:115.13
基本信息
| 储存条件: | 2~8°C |
|---|---|
| 物化性质: | |
| 熔点: | |
| 沸点: | |
| 密度: |

浙公网安备 33010802013077号