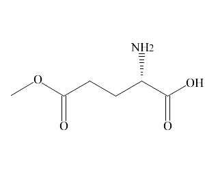
L-谷氨酸-5-甲酯, 99%,L-Glutamic acid 5-methyl ester
产品编号XIYU-BP340068
Cas号1499-55-4
纯度/浓度
储存温度2~8°C
规格
¥0.00 ~ 1,267.00元
增值税发票√顺丰快递√订货电话:18601927057
- 中文名称:L-γ-谷氨酸甲酯
- 英文名称:L-Glutamic acid 5-methyl ester
- CAS NO:1499-55-4
- 分子式:C6H11NO4
- 分子量:161.16
基本信息
| 折光率: | 29 ° (C=2, 6mol/L HCl) |
|---|---|
| 熔点: | 182 °C (dec.)(lit.) |
| 储存条件: | 2~8°C |
| 物化性质: | |
| 熔点: | 182 °C (dec.)(lit.) |
| 沸点: | |
| 密度: |

浙公网安备 33010802013077号