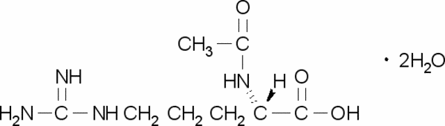
N-alpha-乙酰-L-精氨酸 二水合物, ≥99%,(S)-2-Acetamido-5-guanidinopentanoic acid dihydrate
产品编号XIYU-BP340187
Cas号155-84-0
纯度/浓度
储存温度-20°C
规格
¥0.00 ~ 2,337.00元
增值税发票√顺丰快递√订货电话:18601927057
- 中文名称:N-alpha-乙酰-L-精氨酸 二水合物, ≥99%
- 英文名称:(S)-2-Acetamido-5-guanidinopentanoic acid dihydrate
- CAS NO:155-84-0
- 分子式:C8H16N4O3
- 分子量:216.24
基本信息
| 储存条件: | -20°C |
|---|---|
| 物化性质: | |
| 熔点: | |
| 沸点: | |
| 密度: |

浙公网安备 33010802013077号