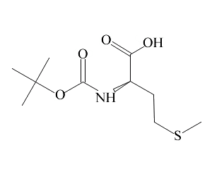
N-Boc-D-蛋氨酸, 99%,N-Boc-D-Methionine
产品编号XIYU-BP340196
Cas号5241-66-7
纯度/浓度
储存温度室温
规格
¥0.00 ~ 349.00元
增值税发票√顺丰快递√订货电话:18601927057
- 中文名称:N-Boc-D-蛋氨酸 ;N-叔丁氧羰基-D-蛋氨酸
- 英文名称:N-Boc-D-Methionine
- CAS NO:5241-66-7
- 分子式:C10H19NO4S
- 分子量:249.33
基本信息
| 折光率: | 22 ° (C=1, MeOH) |
|---|---|
| 熔点: | 47-50 °C |
| 储存条件: | 室温 |
| 颜色: | 白色至浅黄色粉末 |
| 物化性质: | |
| 熔点: | 47-50 °C |
| 沸点: | |
| 密度: |

浙公网安备 33010802013077号