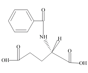
N-苯甲酰基-L-谷氨酸, 99%,N-Benzoyl-L-glutamic acid
产品编号XIYU-BP340494
Cas号6094-36-6
纯度/浓度
储存温度室温
规格
¥0.00 ~ 1,575.00元
增值税发票√顺丰快递√订货电话:18601927057
- 中文名称:N-苯甲酰基谷氨酸 ;N-苄基-L-谷氨酸
- 英文名称:N-Benzoyl-L-glutamic acid
- CAS NO:6094-36-6
- 分子式:C12H13NO5
- 分子量:251.2
基本信息
| 折光率: | 18.5 ° (C=10, 1mol/L NaOH) |
|---|---|
| 熔点: | 140 °C |
| 储存条件: | 室温 |
| 颜色: | 白色到灰白色 粉末 或 晶体 |
| 物化性质: | |
| 熔点: | 140 °C |
| 沸点: | |
| 密度: |

浙公网安备 33010802013077号