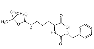
N5-[叔丁氧羰基]-N2-[苄氧羰基]鸟氨酸, 98%,(2S)-5-[(2-methylpropan-2-yl)oxycarbonylamino]-2-(phenylmethoxycarbonylamino)pentanoic acid
产品编号XIYU-BP340533
Cas号199924-46-4
纯度/浓度
储存温度2-8°C
规格
¥0.00 ~ 2,860.00元
增值税发票√顺丰快递√订货电话:18601927057
- 中文名称:N5-[叔丁氧羰基]-N2-[苄氧羰基]鸟氨酸, 98%
- 英文名称:(2S)-5-[(2-methylpropan-2-yl)oxycarbonylamino]-2-(phenylmethoxycarbonylamino)pentanoic acid
- CAS NO:199924-46-4
- 分子式:C18H26N2O6
- 分子量:366.41
基本信息
| 储存条件: | 2-8°C |
|---|---|
| 物化性质: | |
| 熔点: | |
| 沸点: | |
| 密度: |

浙公网安备 33010802013077号