聚天冬氨酸钾, 98%,Potassium of Polyaspartic acid
产品编号XIYU-BP340841
Cas号25608-40-6
纯度/浓度
储存温度室温
规格
¥51.00 ~ 2,818.00元
增值税发票√顺丰快递√订货电话:18601927057
- 中文名称:聚天冬氨酸钾, 98%
- 英文名称:Potassium of Polyaspartic acid
- CAS NO:25608-40-6
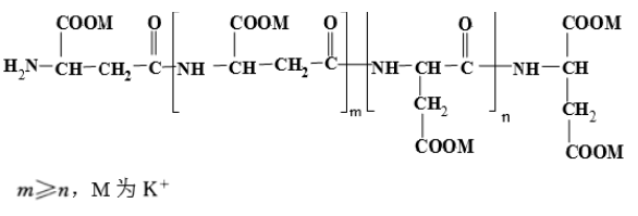
- 分子式:C4H5NO3M(C4H4NO3M)m(C4H4NO3M)nC4H4NO3M2
- 分子量:
基本信息
| 储存条件: | 室温 |
|---|---|
| 物化性质: | |
| 熔点: | |
| 沸点: | |
| 密度: |

浙公网安备 33010802013077号