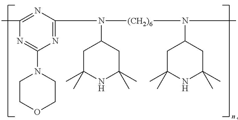
光稳定剂 uv-3346, 98%,N1,N6-Bis(2,2,6,6-tetramethylpiperidin-4-yl)hexane-1,6-diamine compound with 4-(4,6-dichloro-1,3,5-triazin-2-yl)morpholine(Poly)
产品编号XIYU-BP356410
Cas号82451-48-7
纯度/浓度
储存温度2-8°C
规格
¥0.00 ~ 400.00元
增值税发票√顺丰快递√订货电话:18601927057
- 中文名称:聚[N,N`-二(2,2,6,6-四甲基-4-哌啶基)-1,6-己二胺-CO-2,4-二氯-6-吗啡-1,3,5-三嗪]聚[N,N′-双(2,2,6,6-四甲基-4-哌啶基)-1,6-己二胺-CO-2,4-二氯-6-吗啉-1,3,5-三嗪]聚{(6-吗啉基-5-三嗪-2,4-二基)(2,2,6,6-四甲基哌啶基)亚胺基六亚甲基[(2,2,6,6-四甲基哌啶基)-亚胺基]}光稳定剂 UV-3346N,N’-二-(2,2,6,6-四甲基哌啶基-4-基)-1,6-己二氨与4-二氯-6-4-吗啉基-1,3,5-三
- 英文名称:N1,N6-Bis(2,2,6,6-tetramethylpiperidin-4-yl)hexane-1,6-diamine compound with 4-(4,6-dichloro-1,3,5-triazin-2-yl)morpholine(Poly)
- CAS NO:82451-48-7
- 分子式:(C24H50N4.C7H8Cl2N4O)n
- 分子量:
基本信息
| 沸点: | 478.5°C at 760 mmHg |
|---|---|
| 储存条件: | 2-8°C |
| 物化性质: | |
| 熔点: | |
| 沸点: | 478.5°C at 760 mmHg |
| 密度: |

浙公网安备 33010802013077号