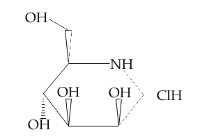
1-甘露糖野尻霉素盐酸盐, 99%,1-Deoxymannojirimycin hydrochloride
产品编号XIYU-BP358717
Cas号73465-43-7
纯度/浓度
储存温度2~8°C
规格
¥0.00 ~ 995.00元
增值税发票√顺丰快递√订货电话:18601927057
- 中文名称:1-甘露糖野尻霉素盐酸盐
- 英文名称:1-Deoxymannojirimycin hydrochloride
- CAS NO:73465-43-7
- 分子式:C6H14ClNO4
- 分子量:199.63
基本信息
| 熔点: | 183-185°C |
|---|---|
| 储存条件: | 2~8°C |
| 物化性质: | |
| 熔点: | 183-185°C |
| 沸点: | |
| 密度: |

浙公网安备 33010802013077号