聚天冬氨酸钠, M.W 7000-8000,Sodium of Polyaspartic acid
产品编号XIYU-BP359870
Cas号181828-06-8
纯度/浓度
储存温度室温
规格
¥0.00 ~ 1,214.00元
增值税发票√顺丰快递√订货电话:18601927057
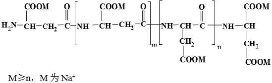
- 中文名称:相关CAS号:181828-06-8,34345-47-6,35608-40-6;聚天冬氨酸(钠) PASP;聚天门冬氨酸钠盐;PASP
- 英文名称:Sodium of Polyaspartic acid
- CAS NO:181828-06-8
- 分子式:C4H5NO3M(C4H4NO3M)m(C4H4NO3M)nC4H4NO3M2
- 分子量:
基本信息
| 储存条件: | 室温 |
|---|---|
| 颜色: | 黄色至棕色粉末 |
| 产品描述: | |
| 物化性质: | |
| 熔点: | |
| 沸点: | |
| 密度: |

浙公网安备 33010802013077号