克罗拉滨, 99.99%,Clofarabine
产品编号XIYU-BP360755
Cas号123318-82-1
纯度/浓度
储存温度2~8°C
规格
¥0.00 ~ 778.00元
增值税发票√顺丰快递√订货电话:18601927057
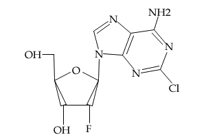
- 中文名称:氯法拉滨,2-氯-9-(2-去氧-2-氟-bata-D-阿拉伯呋喃)-9H-嘌呤-6-胺
- 英文名称:Clofarabine
- CAS NO:123318-82-1
- 分子式:C10H11ClFN5O3
- 分子量:303.68
基本信息
| 熔点: | 228-2310C |
|---|---|
| 储存条件: | 2~8°C |
| 物化性质: | |
| 熔点: | 228-2310C |
| 沸点: | |
| 密度: |

浙公网安备 33010802013077号