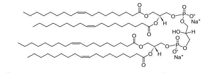
1',3'-bis[1,2-dioleoyl-sn-glycero-3-phospho]-sn-glycerol (sodium salt), >99.99%,1',3'-bis[1,2-dioleoyl-sn-glycero-3-phospho]-sn-glycerol (sodium salt)
产品编号XIYU-BP374450
Cas号115404-77-8
纯度/浓度
储存温度室温,干燥,密封
规格
¥0.00 ~ 1,584.00元
增值税发票√顺丰快递√订货电话:18601927057
- 中文名称:18:1 心磷脂;四油酰心磷脂;1,1′,2,2′-四-(9Z-十八碳烯酰)心磷脂(钠盐);CL (1′-[18:1 (9Z)/18:1 (9Z)] ,3′-[18:1 (9Z)/18:1 (9Z)]);
- 英文名称:1',3'-bis[1,2-dioleoyl-sn-glycero-3-phospho]-sn-glycerol (sodium salt)
- CAS NO:115404-77-8
- 分子式:C81H148O17P2Na2
- 分子量:1501.96
基本信息
| 物化性质: | Soluble in chloroform and alcohol (warmed with water content 3-5%) at concentrations up to 10 mg/mL. Insoluble in water and acetone. |
|---|---|
| 储存条件: | 室温,干燥,密封 |
| 物化性质: | Soluble in chloroform and alcohol (warmed with water content 3-5%) at concentrations up to 10 mg/mL. Insoluble in water and acetone. |
| 熔点: | |
| 沸点: | |
| 密度: |

浙公网安备 33010802013077号