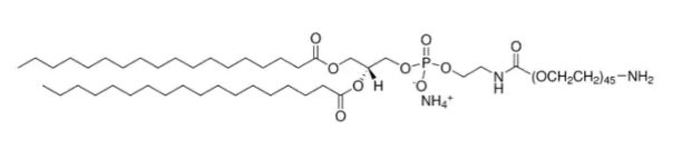
1,2-distearoyl-sn-glycero-3-phosphoethanolamine-N-[amino(polyethylene glycol)-2000] (ammonium salt), >99.99%,1,2-distearoyl-sn-glycero-3-phosphoethanolamine-N-[amino(polyethylene glycol)-2000] (ammonium salt)
产品编号XIYU-BP378763
Cas号474922-26-4
纯度/浓度
储存温度-20°C
规格
¥0.00 ~ 12,584.00元
增值税发票√顺丰快递√订货电话:18601927057
- 中文名称:1,2-distearoyl-sn-glycero-3-phosphoethanolamine-N-[amino(polyethylene glycol)-2000] (ammonium salt), >99.99%
- 英文名称:1,2-distearoyl-sn-glycero-3-phosphoethanolamine-N-[amino(polyethylene glycol)-2000] (ammonium salt)
- CAS NO:474922-26-4
- 分子式:C132H266N3O54P
- 分子量:2790.49
基本信息
| 储存条件: | -20°C |
|---|---|
| 物化性质: | |
| 熔点: | |
| 沸点: | |
| 密度: |

浙公网安备 33010802013077号