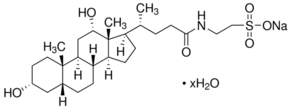
牛磺酸脱氧胆酸钠 水合物, 99%,Sodium taurodeoxycholate hydrate
产品编号XIYU-BP119626
Cas号207737-97-1
纯度/浓度
储存温度室温
规格
¥0.00 ~ 6,108.00元
增值税发票√顺丰快递√订货电话:18601927057
- 中文名称:牛磺酸脱氧胆酸钠 水合物, 99%
- 英文名称:Sodium taurodeoxycholate hydrate
- CAS NO:207737-97-1
- 分子式:C26H44NO6SNa
- 分子量:521.69 (anhydrous basis)
基本信息
| 熔点: | 168 °C (dec.)(lit.) |
|---|---|
| 储存条件: | 室温 |
| 颜色: | 白色至灰白色粉末 |
| 物化性质: | |
| 熔点: | 168 °C (dec.)(lit.) |
| 沸点: | |
| 密度: |

浙公网安备 33010802013077号