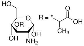
胞壁酸, ≥98%,Muramic acid
产品编号XIYU-BP119741
Cas号1114-41-6
纯度/浓度
储存温度-20°C
规格
¥0.00 ~ 1,562.00元
增值税发票√顺丰快递√订货电话:18601927057
- 中文名称:保护胞壁酸;2-氨基-3-O-(1-羧乙基)-2-脱氧-D-葡萄糖
- 英文名称:Muramic acid
- CAS NO:1114-41-6
- 分子式:C9H17NO7
- 分子量:251.23
基本信息
| 闪点: | 14.0 °C |
|---|---|
| 储存条件: | -20°C |
| 物化性质: | |
| 熔点: | |
| 沸点: | |
| 密度: |

浙公网安备 33010802013077号