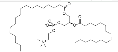
1-stearoyl-2-palmitoyl-sn-glycero-3-phosphocholine, >99.99%,1-stearoyl-2-palmitoyl-sn-glycero-3-phosphocholine
产品编号XIYU-BP119903
Cas号59403-53-1
纯度/浓度
储存温度-20°C
规格
¥0.00 ~ 747.00元
增值税发票√顺丰快递√订货电话:18601927057
- 中文名称:1-stearoyl-2-palmitoyl-sn-glycero-3-phosphocholine, >99.99%
- 英文名称:1-stearoyl-2-palmitoyl-sn-glycero-3-phosphocholine
- CAS NO:59403-53-1
- 分子式:C42H84NO8P
- 分子量:762.09
基本信息
| 储存条件: | -20°C |
|---|---|
| 物化性质: | |
| 熔点: | |
| 沸点: | |
| 密度: |

浙公网安备 33010802013077号