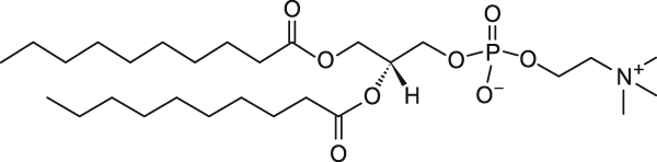
二癸酰基卵磷脂, >99.99%,Didecanoyl Phosphatidylcholine
产品编号XIYU-BP121106
Cas号3436-44-0
纯度/浓度
储存温度-20°C
规格
¥0.00 ~ 1,063.00元
增值税发票√顺丰快递√订货电话:18601927057
- 中文名称:1, 2-didecanoyl-sn-glycero-3-phosphocholine
- 英文名称:Didecanoyl Phosphatidylcholine
- CAS NO:3436-44-0
- 分子式:C28H56NO8P
- 分子量:565.72
基本信息
| 储存条件: | -20°C |
|---|---|
| 颜色: | 白色粉末 |
| 物化性质: | |
| 熔点: | |
| 沸点: | |
| 密度: |

浙公网安备 33010802013077号