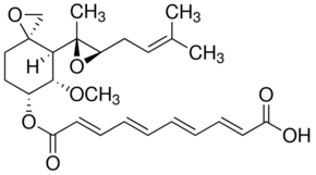
烟曲霉素, 99%,Fumagillin
产品编号XIYU-BP121330
Cas号23110-15-8
纯度/浓度
储存温度-20°C, 充氩储存
规格
¥0.00 ~ 2,208.00元
增值税发票√顺丰快递√订货电话:18601927057
- 中文名称:烟曲霉素, 99%
- 英文名称:Fumagillin
- CAS NO:23110-15-8
- 分子式:C26H34O7
- 分子量:458.54
基本信息
| 闪点: | 2℃ |
|---|---|
| 储存条件: | -20°C, 充氩储存 |
| 产品描述: | |
| 物化性质: | |
| 熔点: | |
| 沸点: | |
| 密度: |

浙公网安备 33010802013077号