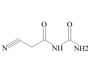
氰基乙酰基脲, 99%,Cyanoacetylurea
产品编号XIYU-BP131477
Cas号1448-98-2
纯度/浓度
储存温度室温
规格
¥0.00 ~ 774.00元
增值税发票√顺丰快递√订货电话:18601927057
- 中文名称:氰基乙酰基脲 ;氰乙酰脲
- 英文名称:Cyanoacetylurea
- CAS NO:1448-98-2
- 分子式:C4H5N3O2
- 分子量:127.1
基本信息
| 熔点: | 215°C (dec.) |
|---|---|
| 储存条件: | 室温 |
| 物化性质: | |
| 熔点: | 215°C (dec.) |
| 沸点: | |
| 密度: |

浙公网安备 33010802013077号