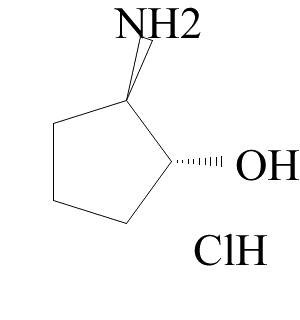
反式-(1R,2R)-2-氨基环戊醇盐酸盐, 98%,trans-(1R,2R)-2-Aminocyclopentanol hydrochloride
产品编号XIYU-BP135416
Cas号68327-11-7
纯度/浓度
储存温度室温
规格
¥0.00 ~ 1,645.00元
增值税发票√顺丰快递√订货电话:18601927057
- 中文名称:反式-(1R,2R)-2-氨基环戊醇盐酸盐
- 英文名称:trans-(1R,2R)-2-Aminocyclopentanol hydrochloride
- CAS NO:68327-11-7
- 分子式:C5H11NO·HCl
- 分子量:137.61
基本信息
| 熔点: | 191-196 °C(lit.) |
|---|---|
| 储存条件: | 室温 |
| 物化性质: | |
| 熔点: | 191-196 °C(lit.) |
| 沸点: | |
| 密度: |

浙公网安备 33010802013077号