罗汉果苷V, 99%,Mogroside V
产品编号XIYU-BP39364
Cas号88901-36-4
纯度/浓度
储存温度2~8°C,密封,避光
规格
¥0.00 ~ 4,342.00元
增值税发票√顺丰快递√订货电话:18601927057
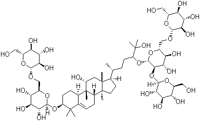
- 中文名称:罗汉果苷V ;罗汉果糖苷 V,罗汉果皂甙 V
- 英文名称:Mogroside V
- CAS NO:88901-36-4
- 分子式:C60H102O29
- 分子量:1287.43
基本信息
| 密度: | 1.51 |
|---|---|
| 储存条件: | 2~8°C,密封,避光 |
| 物化性质: | |
| 熔点: | |
| 沸点: | |
| 密度: | 1.51 |

浙公网安备 33010802013077号