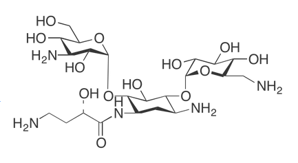
阿米卡星(丁胺卡那霉素), 99%,Amikacin
产品编号XIYU-BP142803
Cas号37517-28-5
纯度/浓度
储存温度2-8°C,惰性气体存储
规格
¥0.00 ~ 3,365.00元
增值税发票√顺丰快递√订货电话:18601927057
- 中文名称:阿米卡星(丁胺卡那霉素), 99%
- 英文名称:Amikacin
- CAS NO:37517-28-5
- 分子式:C22H43N5O13
- 分子量:585.6
基本信息
| 储存条件: | 2-8°C,惰性气体存储 |
|---|---|
| 颜色: | 白色粉末 |
| 物化性质: | |
| 熔点: | |
| 沸点: | |
| 密度: |

浙公网安备 33010802013077号