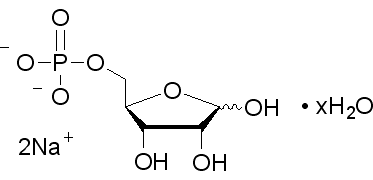
D-核糖-5-磷酸二钠盐 水合物, 85%,D-Ribose 5-phosphate disodium salt hydrate
产品编号XIYU-BP39638
Cas号18265-46-8
纯度/浓度
储存温度-20°C
规格
¥0.00 ~ 5,900.00元
增值税发票√顺丰快递√订货电话:18601927057
- 中文名称:D-核糖-5-磷酸二钠盐 水合物, 85%
- 英文名称:D-Ribose 5-phosphate disodium salt hydrate
- CAS NO:18265-46-8
- 分子式:C5H9Na2O8P·xH2O
- 分子量:274.07
基本信息
| 储存条件: | -20°C |
|---|---|
| 产品描述: | |
| 物化性质: | |
| 熔点: | |
| 沸点: | |
| 密度: |

浙公网安备 33010802013077号