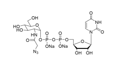
UDP-GlcNAz.2Na, 98%,UDP-GlcNAz.2Na
产品编号XIYU-BP39701
Cas号1611490-64-2
纯度/浓度
储存温度-20°C
规格
¥0.00 ~ 6,562.00元
增值税发票√顺丰快递√订货电话:18601927057
- 中文名称:UDP-GlcNAz.2Na, 98%
- 英文名称:UDP-GlcNAz.2Na
- CAS NO:1611490-64-2
- 分子式:C17H24N6O17P2Na2
- 分子量:692.05
基本信息
| 储存条件: | -20°C |
|---|---|
| 物化性质: | |
| 熔点: | |
| 沸点: | |
| 密度: |

浙公网安备 33010802013077号