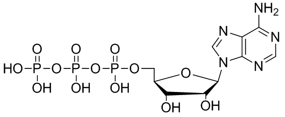
三磷酸腺苷, >99%,Adenosine triphosphate
产品编号XIYU-BP173279
Cas号56-65-5
纯度/浓度
储存温度室温,干燥,密封
规格
¥55.00 ~ 3,898.00元
增值税发票√顺丰快递√订货电话:18601927057
- 中文名称:三磷酸腺苷, >99%
- 英文名称:Adenosine triphosphate
- CAS NO:56-65-5
- 分子式:C10H16N5O13P3
- 分子量:507.18
基本信息
| 储存条件: | 室温,干燥,密封 |
|---|---|
| 颜色: | 白色 晶体 粉末 |
| 物化性质: | |
| 熔点: | |
| 沸点: | |
| 密度: |

浙公网安备 33010802013077号