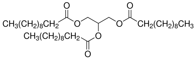
11碳酸三甘油酯, ≥99%,Glyceryl triundecanoate
产品编号XIYU-BP188269
Cas号13552-80-2
纯度/浓度
储存温度−20°C
规格
¥0.00 ~ 2,272.00元
增值税发票√顺丰快递√订货电话:18601927057
- 中文名称:1,2,3-三十一酰甘油;三十一酰;十一酸甘油三酯
- 英文名称:Glyceryl triundecanoate
- CAS NO:13552-80-2
- 分子式:C36H68O6
- 分子量:596.92
基本信息
| 储存条件: | −20°C |
|---|---|
| 颜色: | 白色低熔点固体或液体 |
| 物化性质: | |
| 熔点: | |
| 沸点: | |
| 密度: |

浙公网安备 33010802013077号