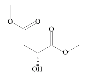
D-苹果酸二甲酯, 99%,Dimethyl D-malate
产品编号XIYU-BP191369
Cas号70681-41-3
纯度/浓度
储存温度2~8°C
规格
¥0.00 ~ 9,100.00元
增值税发票√顺丰快递√订货电话:18601927057
- 中文名称:D-苹果酸二甲酯
- 英文名称:Dimethyl D-malate
- CAS NO:70681-41-3
- 分子式:C6H10O5
- 分子量:162.14
基本信息
| 折光率: | n20/D 1.440 |
|---|---|
| 沸点: | 104-108 °C1 mm Hg(lit.) |
| 密度: | 1.232 g/mL at 25 °C(lit.) |
| 闪点: | >230 °F |
| 储存条件: | 2~8°C |
| 物化性质: | |
| 熔点: | |
| 沸点: | 104-108 °C1 mm Hg(lit.) |
| 密度: | 1.232 g/mL at 25 °C(lit.) |

浙公网安备 33010802013077号