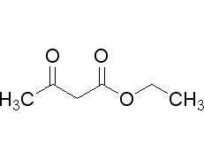
乙酰乙酸乙酯, >99.0%(GC),Ethyl acetoacetate (EAA)
产品编号XIYU-BP191855
Cas号141-97-9
纯度/浓度
储存温度室温
规格
¥0.00 ~ 1,190.00元
增值税发票√顺丰快递√订货电话:18601927057
- 中文名称:乙酰乙酸乙酯 ;丁酮酸乙酯,3-氧代丁酸乙基酯,乙酰醋酸乙脂
- 英文名称:Ethyl acetoacetate (EAA)
- CAS NO:141-97-9
- 分子式:C6H10O3
- 分子量:130.14
基本信息
| 折光率: | n20/D 1.419 |
|---|---|
| 熔点: | −43 °C(lit.) |
| 沸点: | 181 °C(lit.) |
| 密度: | 1.029 g/mL at 20 °C(lit.) |
| 闪点: | 85 °C |
| 储存条件: | 室温 |
| 颜色: | NA |
| 物化性质: | |
| 熔点: | −43 °C(lit.) |
| 沸点: | 181 °C(lit.) |
| 密度: | 1.029 g/mL at 20 °C(lit.) |

浙公网安备 33010802013077号