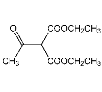
乙酰基丙二酸二乙酯, 90%,Diethyl acetylmalonate
产品编号XIYU-BP191892
Cas号570-08-1
纯度/浓度
储存温度室温
规格
¥0.00 ~ 2,178.00元
增值税发票√顺丰快递√订货电话:18601927057
- 中文名称:乙酰基丙二酸二乙酯, 90%
- 英文名称:Diethyl acetylmalonate
- CAS NO:570-08-1
- 分子式:C9H14O5
- 分子量:202.21
基本信息
| 沸点: | 119-120°C 17mm |
|---|---|
| 闪点: | 119-120°C/17mm |
| 储存条件: | 室温 |
| 物化性质: | |
| 熔点: | |
| 沸点: | 119-120°C 17mm |
| 密度: |

浙公网安备 33010802013077号